Logos Bible Giveaway

To maximize my chances of winning a sweet new Bible, I’m letting everybody know about this great giveaway from Logos (makers of some great Bible software).  Here are the details:

Logos Bible Software is celebrating the launch of their new online Bible by giving away 72 ultra-premium print Bibles at a rate of 12 per month for six months. The Bible giveaway is being held at Bible.Logos.com and you can get up to five different entries each month! After you enter, be sure to check out Logos and see how it can revolutionize your Bible study.

Posted in Bible | Leave a comment

Privacy Rights of Employees Using Workplace Computers in California

If you are reading this blog, you should probably read:

http://www.privacyrights.org/ar/employees-rights.htm

In other news, anybody that uses  ceramic cups instead of foam cups is (basically) killing baby seals (maybe these people should just move to Canada where  the yearly quota for clubbing baby seals is in the hundreds of thousdands).

BabySealHitting

Posted in Interesting | 2 Comments

Motion Binding illusion

Make 662
This is pretty interesting, follow the link and watch the motion of the blue lines, then turn on the occluders..

Technically the mechanism at work here is known as "motion binding". When the edges of the diamond are covered by occluders with the same colour as the background (here, white) there is no information on the vertices of the square. Now the ends of the line become a property of the line and there is insufficient information to detect the circular movement.

The reappearance of the diamond (with occluders invisible) on eccentric viewing is probably caused by blurring the distracting line ends.Motion Binding illusion – [via] Link.

From MAKE Magazine

Posted in Blogroll | Leave a comment

Antarctica’s Research Stations

Please be aware that images of Antarctica are currently only available in Google Earth so the Google Maps links below will not work. To view the sights in this post you will have to View in Google Earth.

Although Antarctica’s official population is zero, there is usually between 1,000 to 4,000 people living and working on the mostly uninhabitable continent.

These people are representatives of the 30 countries which operate year-round or summer research stations at various locations, many of which are now viewable in Google Earth. Today we’re going to look at a few of these stations.

Russia’s Mirny station was established during the 1st Soviet Antarctica Expedition and one of the buildings has CCCP (Russian for USSR) painted on its roof.

Australia’s Casey station is a collection of colourful buildings established in 1959. The headquarters at Casey (known as the “Big Red Shed”) are likely the largest building on Antarctica.

Casey station also has a webcam, and you can see a typical day on Antarctica by watching the fantastic time lapse video of yesterday’s shots.

Antarctica has at least 20 private airports for the coming and going of all the staff, and at the UK’s Rothera Research Station we can see the snow-covered 900m runway.

Wikipedia lists 64 currently active stations, so there’s no doubt much more to be found on Antarctica.

Thanks: bruv, Gearthhacks & Rebay

Categories: Antarctica

View in Google Earth

From Google Sightseeing

Posted in Google Earth | Leave a comment

Googlebombing ‘failure’

Posted by Marissa Mayer, Director of Consumer Web Products 

If you do a Google search on the word [failure] or the phrase [miserable failure], the top result is currently the White House’s official biographical page for President Bush. We’ve received some complaints recently from users who assume that this reflects a political bias on our part. I’d like to explain how these results come up in order to allay these concerns.

Google’s search results are generated by computer programs that rank web pages in large part by examining the number and relative popularity of the sites that link to them. By using a practice called googlebombing, however, determined pranksters can occasionally produce odd results. In this case, a number of webmasters use the phrases [failure] and [miserable failure] to describe and link to President Bush’s website, thus pushing it to the top of searches for those phrases. We don’t condone the practice of googlebombing, or any other action that seeks to affect the integrity of our search results, but we’re also reluctant to alter our results by hand in order to prevent such items from showing up. Pranks like this may be distracting to some, but they don’t affect the overall quality of our search service, whose objectivity, as always, remains the core of our mission.

Posted in Computer Related, Interesting, Websites | Leave a comment

North Dumpling Island

North Dumpling Island is a small piece of land just off the coast of Connecticut and the private residence of Dean Kamen, inventor of the Segway Personal Transporter.

Like any good inventor it seems Kamen is a wee bit eccentric, having declared the island to be an independent state with its own currency (in increments of Pi) and its own navy, consisting solely of the amphibious vehicle we can see parked beside the north-east building.

Although his independence isn’t officially recognised Kamen even signed a non-aggression pact with then-president George H.W. Bush.

Kamen has also erected a replica of Stonehenge to one corner of his island, where I’m guessing he might drive a Segway around the stones, naked and chanting.

Wikipedia Links: North Dumpling Island & Dean Kamen

Thanks: Pat Trainor

Categories: Islands, Watercraft, Connecticut and Structures

View in Google Earth

From Google Sightseeing

Posted in Google Earth | Leave a comment

Seriously, gas isn't THAT expensive

You’ve heard this point before, but despite the price of gas being at record levels, adjusted for inflation, it’s still not the most expensive we’ve ever paid for dead-dino juice in the U.S. The Auto Prophet, one of the original auto-related bloggers that’s still keepin’ it real, found this informative chart (see larger version here) from InflationData.com that illustrates this fact in a straightforward way. The black line is the actual average price of gasoline in the U.S. since 1918, while the red line represents the price of gas since 1918 adjusted for inflation.

The most we’ve paid for gas was when we first started buying a lot of it back in 1918 when the chart begins. That year Americans paid an average of around a quarter per gallon, or just under $3.50/gallon in 2007 dollars. Last week’s record average price of $3.28/gallon still falls below those early levels.

The chart is particularly interesting because it shows a general downward trend in the cost of gas when it’s adjusted for inflation. There are spikes in the red line from the oil embargo in the ’70s and the recent increases since the war in Iraq and Hurricane Katrina hit, but if you watch the red line we should expect the price to go back down. Unfortunately, the actual price of gas will probably continue to rise as it has since 1918, as well. Just as long as it doesn’t catch up to the inflation curve, the sting won’t hurt so much.

[Source: The Auto Prophet]

From Autoblog

Posted in Interesting | Leave a comment

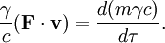
A little math never hurt anybody

A quick snippet of the derivation of Einstein’s Mass-energy equivalence equation. This is always good for some good late night reading.

….

In the particle’s rest frame, the momentum is (mc,0) and so for the force four-vector to be orthogonal, its time component must be zero in the rest frame as well, so F = (0,F). Applying a Lorentz transformation to an arbitrary frame, we find

F=\left(\frac{\gamma}{c}(\mathbf{F}\cdot\mathbf{v}),\mathbf{F} + \frac{\gamma^2}{\gamma + 1}(\mathbf{F}\cdot\mathbf{v})\right)^T.

Thus the time component of the relativistic version of Newton’s second law is

\frac{\gamma}{c}(\mathbf{F}\cdot\mathbf{v})=\frac{d(m\gamma c)}{d\tau}.

Recalling the definition of work done by the applied force as

W=\int \mathbf{F}\cdot\,d\mathbf{r} = \int \mathbf{F}\cdot\mathbf{v}\,dt,

and since the change in energy is given by the work done, we have

\frac{dE}{d\tau} = \gamma\mathbf{F}\cdot\mathbf{v},

and so finally we see that, up to an additive constant,

E=m\gamma c^2 \,

from Wikipedia

Posted in Interesting | Leave a comment

Dont be too proud, use tools when reinstalling Windows

So you’re getting ready to (or just did) reinstall windows. Here are some tools you should know about.

First, if you can help it, before you reinstall make sure you back up your drivers. I’ve used Driver Magician (~$30, useable demo available) and Driver Max (free). Here are some similar programs I’ve read about:

driver%20collector.png

Windows only: Freeware tool Driver Collector finds the currently installed drivers for hardware currently installed on your PC, then copies the files to a pre-defined folder.

If you’ve re-installed Windows before, you know how handy a tool like Driver Collector could be – whether you’ve long since lost your driver disks or you just don’t want to go through the hassle of searching through all your install disks for the correct drivers. With tools like InstallPad for automating your software installations and Driver Collector for taking care of your hardware, re-installing Windows on your computer gets easier by the day. – Adam Pash

Driver Collector 1.2 [Major Geeks via Technibble]

From Lifehacker

DriverGrabber helps copy all third party drivers from your system into a "Drivers" subfolder where the EXE is located. This comes in useful if you need to reinstall Windows but have misplaced the original driver discs.

From The Portable Freeware Collection

Now you have a clean install of windows. How should you fill it up. Well first, head to Windows Update and/or try:

autopatcher.png

Windows only: AutoPatcher is a freeware Windows Update alternative that gives you more control over how you update your PC.

Rather than requiring an internet connection every time you need to update a PC, AutoPatcher can be burned to a CD and used on any computer – which comes as a godsend for any resident PC-geek of the family, especially when you’ve updated a PC over a 56k modem. The great part about AutoPatcher is that not only does it dole out the regular updates, but it also automates installation of several tools not generally included by Windows Update, like Windows PowerToys.

The only downside to AutoPatcher is that you can’t automate future updates, meaning that you would have to check back monthly to get the "Update" releases. If you’re fine with that, then go with AutoPatcher all the way. If you don’t want to worry about checking back with AutoPatcher for updates, the regular Windows Update tool should remain turned on and updating. However, you should still keep AutoPatcher in mind any time you’ve re-installed Windows, as it provides a much easier and arguably secure way to update a freshly installed, unpatched version of Windows. Thanks Steve, Nemo, and m_s! – Adam Pash

From Lifehacker

Then start installing programs. InstallPad is a great choice You can also try:

software%20for%20starving%20students.jpg

Windows and Mac only: Software for Starving Students has released a 2007 edition of its collection of freeware and open-source software.

The collection includes well-known gems like 7-Zip, Audacity, Blender, and OpenOffice.org–all stuff you can easily get yourself, but here the legwork is done for you. Plus, it comes with an easy-to-use installer. The idea behind the project is to give students (or anyone else) a single CD containing all the software they’ll need to be productive.

Just one caveat: The download is a disc image file (DMG for Mac users, ISO for Windows), so you need to know how to burn that image to a CD. It’s pretty much a drag-and-drop affair for Mac users, but Windows users will need a program like Nero or Active ISO Burner, which is freeware. Software for Starving Students 2007.01 is free; it’s available for Windows and Mac. – Rick Broida

From Lifehacker

Posted in Computer Related, Software | Leave a comment

Norwegian Bicycle Lift Proves Europeans are Just as Lazy

bikelift.jpg

This bicycle lift from some Norway may be old hat for them, but totally blew our minds when we saw it earlier today. Picture a guided train track railing that you stick your foot on while you ride your bike that will guide you up a hill.

The entire idea is so brilliant that we’re now demanding that it be installed all over San Francisco in order to ease congestion (took us nearly an hour to get from one part to another thanks to the Cherry Blossom Festival). Check out the gallery to see all 130 meters of it in action. – Jason Chen

Bicycle Lift [Fresh99 – Thanks Tomhut]

Posted in Funny Stuff | Leave a comment